Return on Assets (ROA) Introduction When you look at a...
Read MoreDiscounted Cash Flow (DCF) Model
Understanding the Discounted Cash Flow (DCF) Model in Stock Valuation
Have you ever wondered if a stock is genuinely worth its current market price, or if it is just being driven up by temporary hype? For investors seeking to build long-term wealth, distinguishing between a stock’s market price and its true, underlying value is essential. This is where fundamental analysis comes into play, and arguably no tool is more respected for finding that true value than the Discounted Cash Flow (DCF) model.
While it might sound complex at first, the core idea behind DCF is incredibly straightforward and logical. In this guide, we will break down exactly how this valuation method works, why it is heavily favored by professional analysts, and how it can help you make more informed, confident investment decisions.
Table of Contents
- What Exactly is the Discounted Cash Flow (DCF) Model?
- Why Do Investors Rely on the DCF Model?
- How Does the DCF Formula Work in Simple Terms?
- What Are the Main Advantages and Limitations of DCF?
- How Can You Apply DCF in Real-World Investing?
- Conclusion: Key Takeaways on DCF Valuation
- Frequently Asked Questions (FAQs) About DCF Valuation

What Exactly is the Discounted Cash Flow (DCF) Model?
The Discounted Cash Flow (DCF) model is a valuation method used to estimate the value of an investment based on its expected future cash flows. In plain English, it attempts to figure out the current value of a company based on how much money that company is expected to make in the future.
To understand DCF, you first have to understand the “Time Value of Money.” This is a core financial principle stating that a dollar you receive today is worth more than a dollar you receive next year. Why? Because you can invest today’s dollar and earn interest or returns on it. Therefore, if you are looking at the cash a company will generate five years from now, you cannot value it exactly the same as cash it holds today. You have to “discount” those future earnings back to their present value.
When analyzing global equities, analysts use the DCF model to strip away market sentiment. Instead of looking at what other people are willing to pay for a share, they look strictly at the cash the business is bringing through the door. If the value calculated through the DCF model is higher than the current cost of the investment, the opportunity might be a good one.
Why Do Investors Rely on the DCF Model?
Investors, particularly those with a long-term horizon, rely heavily on the DCF model because it focuses on absolute, intrinsic value rather than relative value.
Many popular valuation metrics, like the Price-to-Earnings (P/E) ratio, are relative. They tell you if a stock is cheap or expensive compared to its peers or its own history. However, if the entire market is overvalued, a “cheap” stock might still be a bad investment. The DCF model ignores the broader market’s mood swings. It acts as a financial anchor, relying purely on the business’s ability to generate cash.
Furthermore, the DCF model requires an investor to think deeply about the future of the company. You cannot just look at past performance; you must evaluate the company’s growth strategy, profit margins, and the risks it faces in its industry. By utilizing robust market research, investors can make highly educated forecasts about a company’s trajectory, allowing the DCF model to paint a realistic picture of long-term potential.
Access Global Markets Today
Trade international stocks and build your portfolio with a regulated broker in the DIFC.
How Does the DCF Formula Work in Simple Terms?
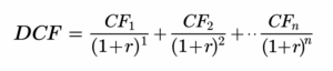
While the math can get intricate, the basic structure of the DCF formula is quite logical. Here is what the formula looks like:

Cash Flow (CF): This is the money the company actually generates from its operations, after paying for the costs of keeping the business running (like buying new equipment or paying rent). We call this “Free Cash Flow.” You must estimate this for each future year (CF1 for year one, CF2 for year two, etc.).
Discount Rate (r): This is the crucial part. The discount rate is the rate of return you require to make the investment worthwhile, factoring in the risk. If a company is highly risky, you demand a higher return, which means a higher discount rate.
Time Period (n): The specific future year the cash flow is expected to be received, often represented as (1+r)n.
To find the value of a stock, an analyst forecasts the free cash flows for a certain period (usually 5 to 10 years), discounts each of those years back to today’s value using the discount rate, and adds them all together. Finally, they calculate a “Terminal Value” (the estimated value of the company forever after that 10-year period), discount that back, and add it to the total. Divide that final massive number by the number of shares the company has, and you get the true intrinsic value per share.

What Are the Main Advantages and Limitations of DCF?
Like any financial tool, the DCF model is incredibly powerful but not completely flawless. Understanding its strengths and weaknesses is vital for any serious investor.
Advantages:
- Focuses on Cash: Accounting profits can be manipulated through clever bookkeeping. Cash cannot. By focusing on free cash flow, the DCF model looks at the true lifeblood of a business.
- Intrinsic Valuation: It provides a specific price target that isn’t influenced by whether the stock market is currently in a bubble or a crash.
- Detailed Analysis: It forces investors to scrutinize all aspects of a business, from operating costs to capital expenditures.
Limitations:
- Garbage In, Garbage Out: The DCF model is highly sensitive to your assumptions. If your forecast for year 5 cash flows is too optimistic, or if your discount rate is off by just a few percentage points, the final stock value will be wildly inaccurate.
- Not Ideal for Every Company: It works best for mature companies with predictable, stable cash flows. It is very difficult to use a DCF model on an early-stage startup that is currently losing money but hopes to be profitable a decade from now.
- Complexity: Building an accurate model from scratch takes time, financial modeling skills, and access to deep financial data.
Elevate Your Investment Strategy
Leverage our daily and weekly market updates to make informed, data-driven decisions.
How Can You Apply DCF in Real-World Investing?
For everyday investors, you don’t necessarily need to build complex spreadsheets from scratch. Many financial platforms provide the free cash flow data and even pre-built DCF calculators.
The best way to apply this is to use it as a “margin of safety” check. When considering adding different investment products and solutions to your portfolio, look at the current price of a stock. Then, look at its estimated DCF value. If the stock is trading at $50, but a conservative DCF model suggests its intrinsic value is $75, you have a solid “margin of safety.” You are buying a dollar for 66 cents.
Conversely, if a popular tech stock is trading at $200, but realistic cash flow projections value it at $80, the DCF model is warning you that the stock is highly overvalued, protecting you from a potential future crash.
Conclusion: Key Takeaways on DCF Valuation
The stock market is essentially an ongoing debate over what companies are worth. While price charts tell you what people are paying today, the Discounted Cash Flow model tells you what the business is actually worth based on its ability to generate money.
- Intrinsic Value: DCF calculates the absolute value of a stock based on future earnings, not market hype.
- Time Value of Money: It correctly assumes that money generated by a business today is worth more than money generated years down the line.
- Cash is King: By focusing on Free Cash Flow rather than accounting profits, it provides a more honest look at a company’s financial health.
- Mind the Assumptions: The model is only as good as the forecasts you put into it. Always use conservative estimates to protect your capital.
By understanding and incorporating the principles of the DCF model into your strategy, you can transition from simply guessing what a stock might do, to confidently investing based on true mathematical value.
Frequently Asked Questions (FAQs)
Most professionals use the Weighted Average Cost of Capital (WACC), which is the average rate a company pays to finance its business through debt and equity. For everyday investors looking for a simpler approach, you can use your personal “required rate of return”—typically between 8% and 12%, depending on how risky you believe the investment is.
It is generally not recommended for either. Banks have unique business models where debt is treated as raw material rather than standard financing, making other models (like the Dividend Discount Model) more accurate. For high-growth startups with negative cash flows, a DCF relies too heavily on pure guesswork for the distant future, making the final valuation highly unreliable.
This is a very common observation and entirely normal. Terminal value represents the company’s expected cash flows for all years after your initial 5-to-10-year forecast period, extending indefinitely into the future. Because it accounts for the entire remaining lifespan of the business, it often makes up 60% to 80% of the total intrinsic value.
This usually indicates one of two things: either your future growth assumptions were too conservative, or the stock is currently overvalued by the market hype. Value investors often use this result as a signal to hold off on buying, preferring to wait until the market price drops below their calculated intrinsic value to secure a safe margin of error.
Disclaimer:
Trading foreign exchange and/or contracts for difference on margin carries a high level of risk, and may not be suitable for all investors as you could sustain losses in excess of deposits. The products are intended for retail, professional and eligible counterparty clients. Before deciding to trade any products offered by PhillipCapital (DIFC) Private Limited you should carefully consider your objectives, financial situation, needs and level of experience. You should be aware of all the risks associated with trading on margin. The content of the Website must not be construed as personal advice. For retail, professional and eligible counterparty clients. Before deciding to trade any products offered by PhillipCapital (DIFC) Private Limited you should carefully consider your objectives, financial situation, needs and level of experience. You should be aware of all the risks associated with trading on margin.
Rolling Spot Contracts and CFDs are complex instruments and come with a high risk of losing money rapidly due to leverage. 78% of our retail client accounts lose money while trading with us. You should consider whether you understand how Rolling Spot Contracts and CFDs work, and whether you can afford to take the high risk of losing your money.
Profit Margins & Profitability
Profit Margins and Profitability Introduction When you look at a...
Read MoreRevenue Growth Analysis
Revenue Growth Analysis Table of Contents Introduction What Is Revenue...
Read MoreStatement of Changes in Equity
Statement of Changes in Equity Table of Contents Introduction What...
Read MoreCash Flow Statement Analysis
Cash Flow Statement Analysis Table of Contents Introduction What Is...
Read MoreUnderstanding Balance Sheets
Understanding Balance Sheets Understanding Balance Sheets: A Complete Guide for...
Read MoreFundamental Analysis for Stocks
Fundamental Analysis for Stocks Mastering Fundamental Analysis for Stocks: A...
Read MoreDiscounted Cash Flow (DCF) Model
Discounted Cash Flow (DCF) Model Understanding the Discounted Cash Flow...
Read MoreIntrinsic Value Calculation
Intrinsic Value Calculation Guide to Stock Valuations Intrinsic Value Calculation:...
Read Moreunderstanding dividend yield investment guide
Dividend Yield The Strategic Guide to Dividend Yield: Maximizing Passive...
Read MoreEnterprise Value And Ev/Ebitda
Enterprise Value And EV/EBITDA Enterprise Value and EV/EBITDA: A Comprehensive...
Read MorePrice-to-Sales Ratio (P/S)
Price-to-Sales Ratio (P/S) Understanding the Price-to-Sales Ratio (P/S) in Modern...
Read MorePrice-to-Book Ratio
Price-to-Book Ratio (P/B) The Essential Guide for Identifying Undervalued Stocks...
Read MorePrice-to-Earnings Ratio (P/E)
Price-to-Earnings Ratio (P/E) Table of Contents What is the Price-to-Earnings...
Read MoreStock Valuation Methods
Stock Valuation Methods A Comprehensive Guide to Estimating Fair Value...
Read MoreStock Market Hours and Session Trading
Stock Market Hours and Session Trading A Global Guide for...
Read MoreInitial Public Offering Process guide
IPO (Initial Public Offering) Process From Private to Public In...
Read MoreWhat Are Equities and Shares
Demystifying the Market What Are Equities and Shares? The world...
Read MoreIntroduction to Stock Markets
Introduction to Stock Markets &Deliverable Equities Introduction: The Engine of...
Read More