Reinvestment Risk Reinvestment Risk in Bonds: Managing the Impact of...
Read MoreBond Valuation Methods
Mastering Bond Valuation Methods and Formulas: A Comprehensive Guide for Investors
In the sophisticated landscape of global finance, bonds are often perceived as the “steady hand” that balances a volatile portfolio. However, the true value of a bond is not found in its face value alone, but through rigorous mathematical assessment. For investors navigating the markets via PhillipCapital DIFC, understanding bond valuation methods is the difference between speculative trading and strategic wealth preservation. This guide delves into the core formulas and methodologies used by institutional analysts to determine the intrinsic value of debt securities.

What is the Fundamental Concept of Bond Valuation?
Bond valuation is the technical process of determining the fair market value of a debt security. It is based on the principle that a bond’s price today should equal the sum of the present value of all future cash flows it is expected to generate. These cash flows include periodic coupon rates and the return of the principal (par value) at the end of the bond’s term.
When you engage in investment advisory services, valuation acts as your primary filter. If a bond’s calculated intrinsic value is higher than its current market price, it is considered undervalued (trading at a discount). Conversely, if the market price exceeds the intrinsic value, the bond is overvalued (trading at a premium).
How Does the Time Value of Money Apply to Bond Pricing?
The “Time Value of Money” (TVM) is the bedrock of bond pricing. It dictates that a dollar received today is worth more than a dollar received in the future due to its potential earning capacity. To value a bond, we must “discount” future cash flows back to their present value using a specific discount rate, which typically reflects current market interest rates and the issuer’s credit risk.
In professional wealth management, this discounting process ensures that investors are compensated for the opportunity cost of locking away their capital.
The Essential Bond Valuation Formula: Step-by-Step Breakdown
Formula:
To calculate the price of a standard coupon-paying bond, analysts use the following formula:
Where:
- P = Current price of the bond.
- C = Periodic coupon payment (Coupon Rate × Face Value).
- r = Required rate of return or market yield (discount rate).
- t = The specific time period.
- n = Number of periods until maturity.
- F = Face value (Par value) of the bond.
This formula combines an annuity (the coupons) with a single future sum (the face value). By calculating each component, you can determine if a fixed income security is priced fairly relative to its risk.
Optimize Your Fixed-Income Strategy
Leverage our expertise to build a robust portfolio with over 1,000+ global bond instruments.
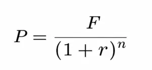
How Do You Value Zero-Coupon Bonds?
Zero-coupon bonds do not provide periodic interest. Instead, they are issued at a significant discount to their face value. The investor’s return is the difference between the purchase price and the amount received at maturity.
The Zero-Coupon Formula:

Because there are no intermediate cash flows, zero-coupon bonds are highly sensitive to changes in the bond yield vs interest rates environment. They are often used by institutional investors for long-term liability matching.
What is Yield to Maturity (YTM) and Why is it the Gold Standard?
Yield to Maturity (YTM) is the most comprehensive measure of a bond’s return. It is the internal rate of return (IRR) an investor will earn if the bond is held until the end of its term and all payments are reinvested at the same rate.
While the coupon rate is static, the YTM is dynamic. It accounts for the bond’s current market price, par value, coupon interest, and time to maturity. For clients utilizing institutional services, comparing YTM across different debt instruments is essential for identifying the best risk-adjusted returns.

How Do Interest Rate Fluctuations Influence Valuation?
The relationship between bond prices and interest rates is strictly inverse. When market interest rates rise, newly issued bonds offer higher coupons, making existing bonds with lower rates less valuable. To attract buyers, the price of these older bonds must fall until their yield matches the new market rate.
Understanding this sensitivity is a core part of risk and return profile management. Long-term bonds generally have higher “duration,” meaning their prices fluctuate more significantly when rates move.
Secure Your Financial Future
Get expert guidance on global bond markets and fixed income.
Advanced Valuation: Dealing with Semi-Annual Coupons and Accrued Interest
In the real world, most bonds pay interest semi-annually. To value these accurately, the standard formula must be adjusted:
- Divide the annual coupon (C) by 2.
- Divide the annual discount rate (r) by 2.
- Multiply the number of years to maturity (n) by 2.
Additionally, if you buy a bond between coupon dates, you must account for accrued interest—the interest earned since the last payment. This leads to the “Dirty Price” (actual price paid) versus the “Clean Price” (quoted price). Our trading platforms provide real-time calculations for these technical nuances, ensuring transparency in every transaction.
Conclusion: Integrating Valuation into Your Investment Strategy
Mastering bond valuation methods and formulas is not just for mathematicians; it is a prerequisite for successful long-term investing. By understanding how to discount cash flows and calculate YTM, you move beyond surface-level metrics and gain a deeper understanding of market value. At PhillipCapital DIFC, we empower our clients with the tools and research necessary to apply these principles, ensuring that every bond in their portfolio serves its purpose of providing stability, income, and growth.
Frequently Asked Questions (FAQs)
It helps determine if a bond is a good deal compared to other investments like stocks or savings accounts, ensuring you don’t overpay for a fixed stream of income.
Par value is the amount the issuer will pay back at maturity (usually $1,000). Market value is the price at which the bond is currently trading, which changes based on interest rates and credit risk.
A lower credit rating increases the “required rate of return” (r) in the formula. A higher ‘r’ results in a lower present value (price).
Yes, the mathematical formula remains the same, but the discount rate (r) used for corporate bonds will usually be higher to account for higher default risk.
Inflation typically leads to higher interest rates. As rates rise, the market value of your existing bond will likely decrease.
It’s about opportunity cost. If you hold an older bond paying 4% but new bonds are being issued at 6%, your 4% bond is less attractive. To convince someone to buy your lower-paying bond, you must lower the price until its total return (yield) matches the current 6% market rate.
The coupon rate is the fixed annual interest payment based on the bond’s face value (set when issued). YTM is more realistic; it calculates your total expected return if you buy the bond at its current market price and hold it until the end, accounting for any discount or premium you paid.
Investors pay a premium when a bond’s coupon rate is higher than current market interest rates. Even though you pay more upfront, the higher interest payments you receive over the bond’s life often outweigh the extra cost, still making it a competitive investment.
Duration measures a bond’s sensitivity to interest rate changes. Essentially, the longer the bond’s term, the higher its duration. A bond with a high duration will see its price swing more dramatically (up or down) for every 1% move in market interest rates compared to a short-term bond.
Disclaimer:
Trading foreign exchange and/or contracts for difference on margin carries a high level of risk, and may not be suitable for all investors as you could sustain losses in excess of deposits. The products are intended for retail, professional and eligible counterparty clients. Before deciding to trade any products offered by PhillipCapital (DIFC) Private Limited you should carefully consider your objectives, financial situation, needs and level of experience. You should be aware of all the risks associated with trading on margin. The content of the Website must not be construed as personal advice. For retail, professional and eligible counterparty clients. Before deciding to trade any products offered by PhillipCapital (DIFC) Private Limited you should carefully consider your objectives, financial situation, needs and level of experience. You should be aware of all the risks associated with trading on margin.
Rolling Spot Contracts and CFDs are complex instruments and come with a high risk of losing money rapidly due to leverage. 78% of our retail client accounts lose money while trading with us. You should consider whether you understand how Rolling Spot Contracts and CFDs work, and whether you can afford to take the high risk of losing your money.
Prepayment Risk and Extension Risk
Prepayment Risk & Extension Risk in Bonds Understanding Prepayment Risk...
Read MoreLiquidity Risk in Fixed Income
Liquidity Risk in Fixed Income Understanding Liquidity Risk in Fixed...
Read MoreInterest Rate Risk Management
Interest Rate Risk Management Master Interest Rate Risk Management in...
Read MoreBond Duration & Interest Rate Risk Explained
Bond Duration & Interest Rate Risk Explained Table of Contents...
Read MoreMacaulay Duration Explained
Macaulay Duration Explained Macaulay Duration Explained: A Comprehensive Guide for...
Read MoreModified Duration and Its Impact on Price
Modified Duration and Its Impact on Bond Prices Introduction Navigating...
Read MoreUnderstanding Bond Duration
Understanding Bond Duration Introduction When stepping into the fixed-income market,...
Read MoreBond Valuation Methods and Formulas
Bond Valuation Methods Mastering Bond Valuation Methods and Formulas: A...
Read MoreThe Inverse Relationship Between Bond Prices and Yields
The Inverse Relationship Between Bond Prices and Yields Table of...
Read MoreCurrent Yield vs Yield to Maturity
Understanding Current Yield vs. Yield to Maturity Understanding Current Yield...
Read MoreBond Yield Vs Interest Rates
Bond Yield Vs Interest Rates Understanding the Relationship Between Bond...
Read MoreBond Yield to Maturity (YTM)
Bond Yield to Maturity (YTM) Understanding Bond Yield to Maturity...
Read MoreCalculating Bond Price And Yield
Calculating Bond Price And Yield Understanding Bond Valuation: A Comprehensive...
Read MoreBond Pricing Fundamentals
Bond Pricing Fundamentals A Guide for Investors Table of Contents...
Read MoreShort-Term, Intermediate, and Long-Term Bonds
Bond Maturities Short-Term, Intermediate, and Long-Term Bonds Table of Contents...
Read MoreInvestment Grade vs Non-Investment Grade Bonds
Investment Grade vs Non-Investment Grade Bonds A Guide for UAE...
Read MoreBonds: Face Value, Par Value & Coupon Rate
Bonds: Face Value, Par Value & Coupon Rate When venturing...
Read MoreBond Issuers Government vs Corporate Bonds
Bond Issuers Government vs Corporate Bonds What UAE Investors Need...
Read MoreUnderstanding Bond Fundamentals: A Guide for Smart Investing
Understanding Bond Fundamentals: A Guide for Smart Investing In the...
Read More



